2026/01/13
2422
掌握气体密度的计算,是化工、环境、能源等诸多领域的基础技能。无论是评估储气罐容量、计算管道流量,还是进行空气质量分析,都离不开它。本文将从基本原理出发,系统讲解两种最常用的气体密度计算方法,并通过一个完整的实例演示,帮助你彻底理解并避免常见错误。
气体密度的计算
理想气体在标况下的密度为:ρ0=M/22.4
M—气体物质的分子量
例如:标况下的空气,ρ0=29/22.4=1.29kg/m³
对于一般情况下,理想气体密度可由下式给出:
其中:
P—压力
R—气体常数
T—温度
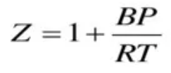
对于非理想气体,则有:
其中z为压缩因子。压缩因子可以由压缩因子图通过临界压缩因子和比温度查到,但精度和准确度会受影响,并且也感觉不到方便;下面用到的一种方法是使用维里方程求得。
维里方程(Virial Equation)
(1901年,由荷兰Leiden大学Onness教授提出)
上图为物质的PV图,从图中可知,在气相区,等温线近似于双曲线,当P↑时,V↓。因此Onness提出,
1.方程可以由下式描述:
PV=a+bP+cP²+dP³+....
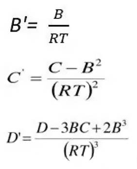
令式中b=aB' c=aC' d=aD'.....则上式可以表示为:
PV=a(1+B'P+C'P²+D'P³+...)
这种描述气体状态的方程就是维里方程,式中:a,B',C',D'…皆是T和物质的函数;
当p→0时,真实气体的行为近似为理想气体的行为。
对于理想气体(Ideal Gas),其行为表现为:
(1)分子间作用力小
(2)分子本身体积小
由维里方程式,当P→0时,PV=a
由理想气体状态方程EOS,PV=RT
上述两个方程联立即可求出维里方程式中的a=RT,因此:
PV=RT(1+B'P+C'P²+D'P³+......)
从而压缩因子可以写成以下两种方式:
Z= pV/RT=1+B'P+C'P²+D'P³+..... (压力形式)
Z= pV/RT=1+B/V+C/V²+D/V³+......(体积形式)
其中的B、B'、C、C'、D、D'等称作维里系数,维里系数=f(物质,温度)
B、B’--- 第二维里系数,它表示对于一定量的真实气体,两个气体分子间作用所引起的真实气体与理想气体的偏差。
C、C’--- 第三维里系数,它表示对于一定量的真实气体,两个气体分子间作用所引起的真实气体与理想气体的偏差。
D、 D' --- ………
注意:B≠B' C≠C' D≠D'
近似地:
当时对于这些常数, Onness 也没有给出任何解释,直到统计热力学的出现,才对这些常数做出了比较满意的解释,统计热力学实际上就是维里方程的理论基础,因而我们可以说,维里方程是具有理论基础的方程。
2.两项维里方程
维里方程式中,保留前两项,忽略掉第三项之后的所有项,得到:
Z=PV/RT=1+B'P
Z=PV/RT=1+B/V
把这个式子代入用压力表示的两项维里方程中,就得到常用的两项维里方程:
3.维里方程的应用范围与条件
(1) 用于气相PVT性质计算,对液相不能使用;
(2) T<Tc,P<1.5MPa,用两项维里方程计算,可以满足工程需要;
常用气体的粘度和密度数据,供大家参考。
| 物质 | 英文名 | 密度 | 动力粘度 | 运动粘度 |
| kg/m3 | μPa·s | mm2/s | ||
| 空气 | air | 1.169 | 18.448 | 15.787 |
| 氨气 | ammonia | 0.694 | 10.093 | 14.539 |
| 氩 | argon | 1.613 | 22.624 | 14.03 |
| 丁烷 | butane | 2.416 | 7.406 | 3.065 |
| 丁烯 | 1- butene | 2.327 | 8.163 | 3.507 |
| 二氧化碳 | carbon dioxide | 1.784 | 14.932 | 8.369 |
| 一氧化碳 | carbon monoxide | 1.13 | 17.649 | 15.614 |
| 二甲醚 | dimethyl ether | 1.895 | 9.1 | 4.801 |
| 乙烷 | ethane | 1.222 | 9.354 | 7.654 |
| 乙烯 | ethylene (ethane) | 1.138 | 10.318 | 9.066 |
| 氢 | hydrogen | 0.081 | 8.915 | 109.69 |
| 氢化硫 | hydrogen sulfide | 1.385 | 12.387 | 8.942 |
| 异丁烷 | isobutane | 2.407 | 7.498 | 3.115 |
| 异丁烯 | isobutene | 2.327 | 8.085 | 3.474 |
| 氪 | krypton | 3.387 | 25.132 | 7.419 |
| 甲烷 | methane | 0.648 | 11.067 | 17.071 |
| 氖 | neon | 0.814 | 31.113 | 38.239 |
| 新戊烷 | neopentane | 3.021 | 7.259 | 2.403 |
| 氮 | nitrogen | 1.13 | 17.805 | 15.753 |
| 一氧化二氮 | nitrous oxide | 1.785 | 14.841 | 8.314 |
| 氧 | oxygen | 1.292 | 20.55 | 15.91 |
| 仲氢 | parahydrogen | 0.081 | 8.915 | 109.69 |
| 丙烷 | propane | 1.808 | 8.146 | 4.507 |
| 丙烯 | propylene | 1.722 | 8.56 | 4.971 |
| R11 | 5.744 | 10.162 | 1.769 | |
| R114 | 7.109 | 10.807 | 1.52 | |
| R115 | 6.347 | 12.515 | 1.972 | |
| R116 | 5.626 | 14.148 | 2.515 | |
| R12 | 4.971 | 11.807 | 2.375 | |
| R124 | 5.651 | 11.593 | 2.051 | |
| R125 | 4.915 | 12.962 | 2.637 | |
| R13 | 4.252 | 14.362 | 3.378 | |
| R134a | 4.201 | 11.819 | 2.813 | |
| R14 | 3.563 | 17.244 | 4.839 | |
| R142b | 4.16 | 10.421 | 2.505 | |
| R143a | 3.448 | 11.087 | 3.215 | |
| R152a | 2.722 | 10.081 | 3.704 | |
| R218 | 7.748 | 12.49 | 1.612 | |
| R22 | 3.539 | 12.631 | 3.569 | |
| R227ea | 7.05 | 11.591 | 1.644 | |
| R23 | 2.846 | 14.913 | 5.24 | |
| R236ea | 6.354 | 10.897 | 1.715 | |
| R236fa | 6.332 | 10.96 | 1.731 | |
| R245ca | 5.661 | 10.117 | 1.787 | |
| R245fa | 5.639 | 10.303 | 1.827 | |
| R32 | 2.125 | 12.613 | 5.937 | |
| R41 | 1.384 | 10.955 | 7.913 | |
| RC318 | 8.315 | 11.505 | 1.384 | |
| 反丁烯二酸 | trans-2-butene | 2.334 | 8.028 | 3.44 |
| 二氯碘甲烷 | trifluoroiodomethane | 8.082 | 14.277 | 1.767 |
| 氙 | xenon | 5.324 | 22.984 | 4.317 |